Resolução da Prova de Matemática da Udesc 2011-2
Resolução da Prova de Matemática da Udesc 2011-2
Olá, veja a seguir a resolução da prova de matemática da UDESC 2011-2, que foi realizada no dia 5 de junho de 2011.
A prova mostrou-se abrangente e com alguns enunciados mal escritos, fato que certamente causou confusão na interpretação das questões.
É provável que a coordenação do vestibular anule questões.
Baixe a prova de matemática aqui!
Veja os assuntos cobrados e também a resolução das questões:
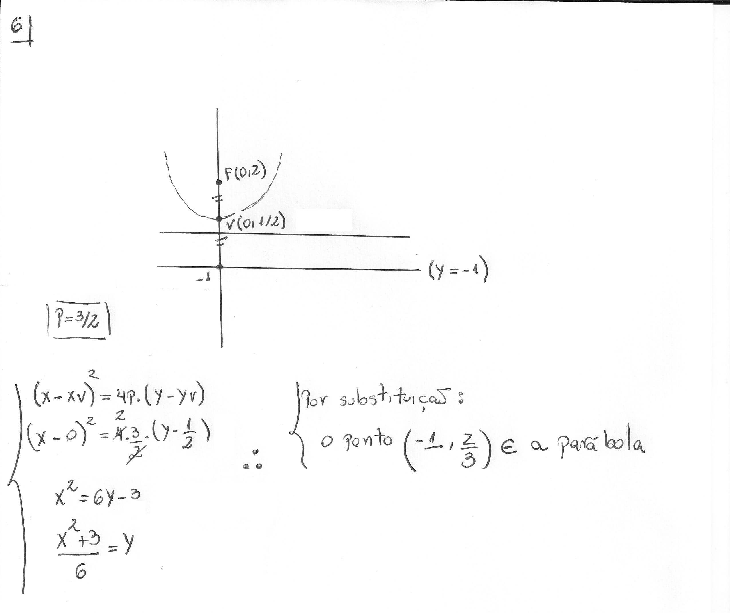
(atenção clique nas imagens para ampliar)
1ª questão: análise combinatória
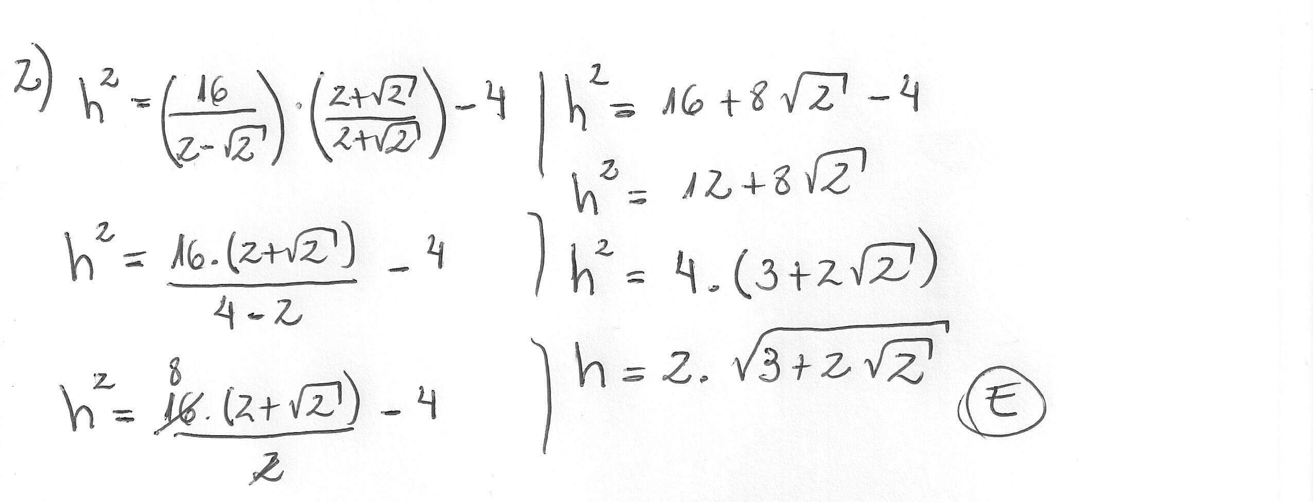
2ª questão: matemática básica com radiciação
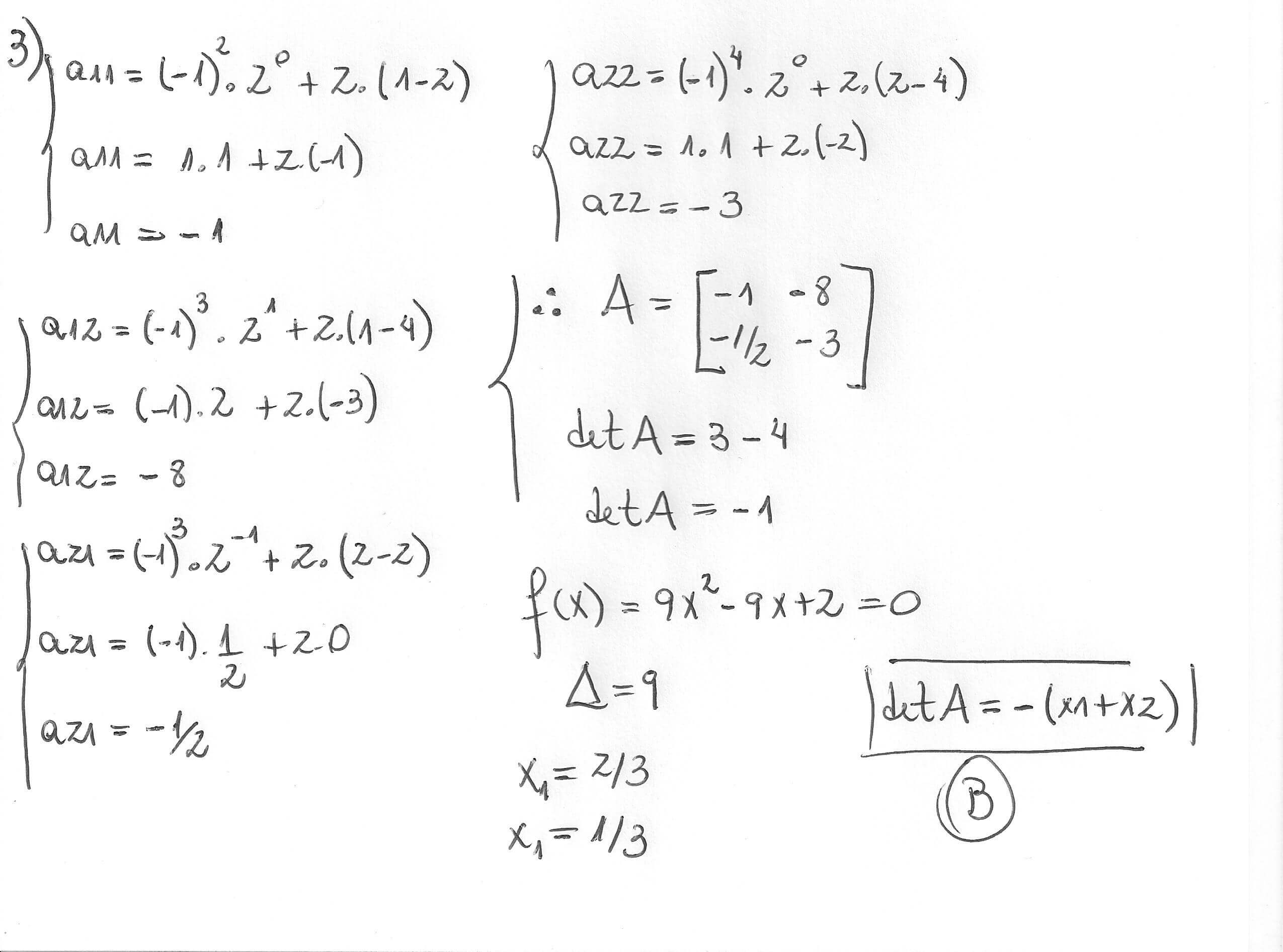
3ª questão: matrizes determinantes e função do 2° grau
4ª questão: geometria plana com polígono geral
5ª questão: logaritmos na quinta ( vale observar que o enunciado apresenta dados insuficientes para a resolução e que a questão está mal escrita)
6ª questão: cônicas com parábola
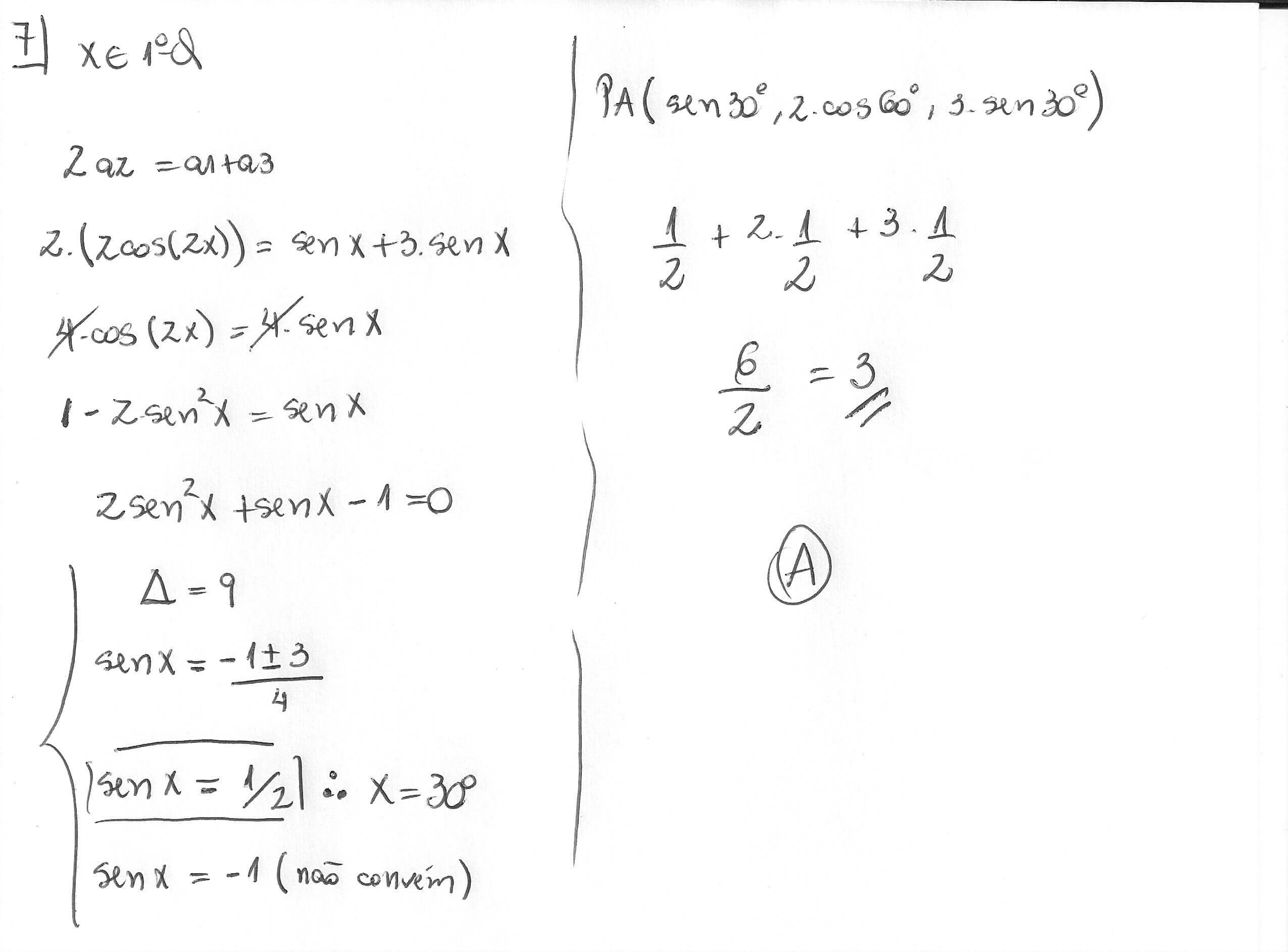
7ª questão: trigonometria e PA
8ª questão: proporção (questão mal escrita, também pode ser resolvida por equação do 1° grau)
9ª questão: logaritmos com mudança de base e propriedades
10ª questão: geometria espacial com esfera e cone
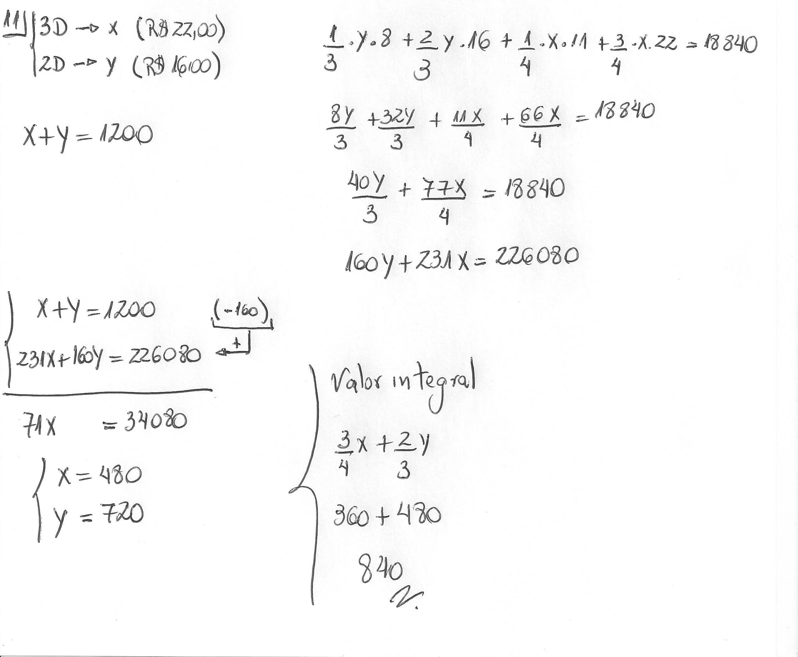
11ª questão: sistemas
12ª questão: conjuntos com porcentagem
13ª questão: geometria plana com circunferência e relações de comparação
14ª questão: lógica usando o jogo Campo Minado
15ª questão: interpretação gráfica com várias funções (anulada), pois uma das funções não tinha gráfico correspondente.
Como foi seu desempenho?
Comentários
Tags , lista de exercicios, Lista de Exercícios, matemática, prova resolvida, Questões Resolvidas, questões resolvidas, udesc, Vestibular
Posted by Orestes Alessandro on terça-feira, outubro 31st, 2017 at 8:28 pm in UDESC, Vestibular






























Fabricio
Gostei mesmo da resolução, bem detalhada. Obrigado por compartilhar!
Alfonso
Muito bom.. Vlw msm.
muito rapido e bem explicado
Daniella
Olá professor, poderia me tirar umas dúvidas?
- Na questão 7, teria como o senhor demonstrar como encontrou o delta = 9?
- Na questão 11, quando o senhor faz 231x + 160y = 226080, como o senhor chega no número 34080?
Obrigada desde já
@Prof_Orestes
Oi Daniella.
e encontramos o 9.
Na questão 7, temos uma equação do 2° grau cuja incógnita é senx, então usamos a relação
Na questão 11 quando colocamos as equações no sistema, a 1.a equação é multiplicada por (-160) e somada com a segunda, ou seja, quando multiplicamos 12000 por (-160) e somamos com 226080 temos 34080.
Bom estudo!
Andre Comochina
professor, gostaria de saber na questão do campo minado, porque o professor assinalou como certa a proposição que fala que nas 4 ultimas linhas existem no máximo 6 minas? sendo que ao meu ver a área não foi revelada e não fica claro qual a provavel quantidade de minas... poderia haver mais que 6 minas justamente pelo motivo da área estar encoberta...
@Prof_Orestes
Oi Andre.
Este item está correto porque embora não possamos determinar onde exatamente estão as 6 minas, já que tudo está coberto, sabemos pelas informações que pelo menos 4 minas não estão nas últimas 4 linhas.
Bom estudo!
Andreia
Professor, voce poderia me explicar porque usamos angulo de 65 na questao 4? Como o senhor chegou a essa conclusao ??
@Prof_Orestes
Oi Andreia os valores são baseados no enunciado da prova.