Dez questões de matemática resolvidas

Dez questões de matemática resolvidas
Veja a seguir a lista com dez questões de matemática resolvidas, elas abordam diversos temas da matemática, boa diversão.
1) Em uma colônia de formigas observou-se que no instante t = 0, o número de formigas era 500 e que o crescimento desse formigueiro é dado pela função f definida por em que t é o tempo decorrido em dias. Supondo que não haja óbitos, em quantos dias, no mínimo, esse formigueiro atingirá 32000 formigas?
a) 32
b) 8
c) 16
d) 9
Resolução
2) Segundo economistas, o aumento do dólar em relação ao real acarreta inflação interna no Brasil, de modo que a cada aumento de 10% do dólar corresponde uma inflação de 1% a 1,5% no Brasil.
Supondo válida essa regra, se o dólar valia R$1,60 e passou a valer R$ 2,00, então a inflação correspondente no Brasil foi de
a) 1,7% a 3,25%
b) 2% a 3%
c) 2,5% a 3,75%
d) 2,5% a 3,25%
Resolução
Observação: No exercício 2, acredito que no momento em que o enunciado diz que "a cada aumento de 10% do dólar corresponde uma inflação de 1% a 1,5%", estamos falando de uma função linear, sendo assim como temos 2 aumentos de 10% teríamos uma inflação de 2% a 3%.
Contudo, alguns entendem que a função é real e se assim for, teremos um incremento de 25% em cada um dos valores, ou seja, vamos para 2,5% a 3,75%.
3) Um manuscrito antigo do “Pirata Barba Negra” indica que, numa certa ilha do Caribe, há um tesouro enterrado e dá as seguintes dicas da sua localização: Quando se desembarca na ilha, vêem-se duas grandes árvores, que chamarei de A e B. Para localizar o tesouro, caminhe de A para B, contando os passos. Ao chegar em B, vire à direita e caminhe metade do que andou de A para B. Daí caminhe na direção de A, contando os passos. Chegando em A, caminhe, na direção contrária a B, o total de passos que já andou. Nesse ponto X enterrei o tesouro.
Se a ilha é plana e a distância entre as duas árvores é de 10m, então a distância de A a X é igual a
a) 20
b)
c)
d) 25
Resolução
4) Um aquário com o formato de um paralelepípedo retângulo de dimensões 15cm x 16cm x 36cm, está com 4/5 de seu volume ocupado pela água. Quando um cubo de ferro maciço é imerso lentamente nesse aquário, a água passa a ocupar todo o volume desse recipiente sem extravasar. É correto concluir que a área total, em cm2, desse cubo vale:
a) 1728
b) 864
c) 576
d) 288
Resolução
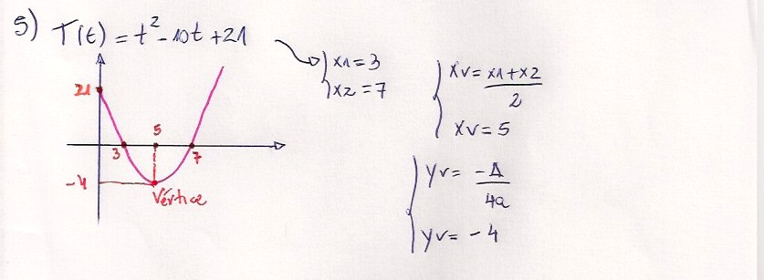
5) Durante um experimento, os alunos observaram que uma substância sofre um processo de mudança de temperatura. Após a coleta de dados, constataram que, t segundos após o início do experimento (t = 0), a temperatura T, em graus Celsius, é dada por
.
Nessas condições, analise as assertivas e assinale a alternativa que aponta a(s) corretas(s).
I) No instante t = 0, a temperatura da substancia está abaixo de 0˚C.
II) A temperatura mínima que a substancia atinge é de -4˚C.
III) Entre 3 e 7 segundos a temperatura da substância é negativa.
a) Apenas II
b) Apenas I e II
c) Apenas II e III
d) I, II e III
Resolução
6) Quarenta pessoas em excursão pernoitam em um hotel. Somados, os homens despendem R$ 2.400,00. O grupo de mulheres gasta a mesma quantia, embora cada uma tenha pago R$ 64,00 a menos que cada homem.
Denotando por x o número de homens do grupo, uma expressão que modela esse problema e permite encontrar tal valor é
a) 2400x = (2400 + 64x)(40 − x).
b) 2400(40 − x) = (2400 - 64x)x.
c) 2400x = (2400 − 64x)(40 − x).
d) 2400(40 − x) = (2400 + 64x)x
Resolução
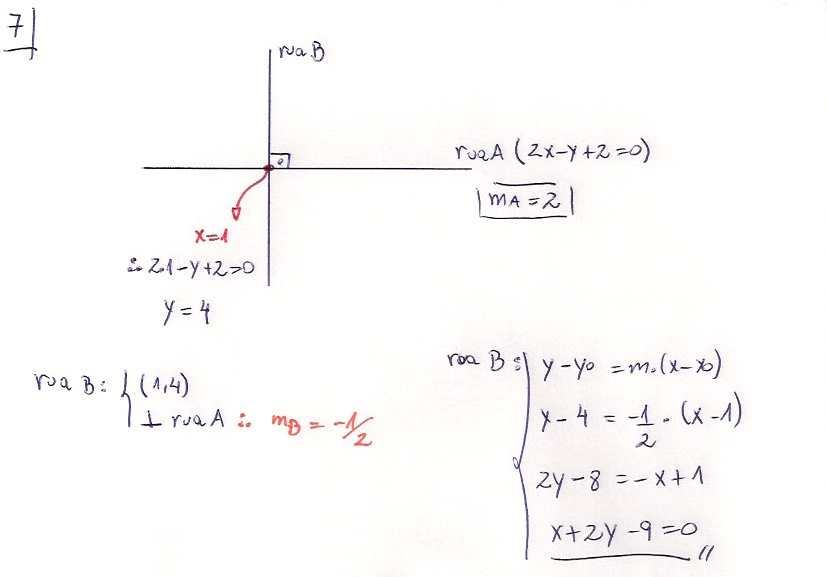
7) Supondo-se que, em uma representação cartográfica de uma cidade, a Rua A pudesse ser identificada, no plano cartesiano, por uma reta de equação 2x – y + 2 = 0 e que encontrasse a Rua B, perpendicular a ela, no ponto onde x = 1, é correto afirmar que é possível representar a rua B, no plano, por uma reta de equação
a) 2y + x – 9 = 0
b) x – 2y + 9 = 0
c) x + 2y + 9 = 0
d) 4y – 2x – 9 = 0
Resolução
8) Uma pessoa deitada ao nível do solo, observa o alto de uma torre sob um ângulo de 30˚. Ao se deslocar 50 metros em direção à torre, passa a observá-la sob um angulo de 60˚, conforme a figura.
Nessas condições, pode-se afirmar que a altura h da torre, em metros, é
a) 25
b)
c) 75
d)
Resolução
9) Segundo estudos realizados em um centro de pesquisas geológicas, a probabilidade de um terremoto ocorrer no mar de certa cidade é de70%, e a probabilidade de ocorrer em terra é de 30%. Em ambos os casos podem ou não ocorrer danos à cidade. Se o terremoto ocorre no mar há 60% de chances de ocorrer danos à cidade. Se o terremoto ocorre em terra, a probabilidade de ocorrer danos é de 82%.Qual é a probabilidade de um terremoto ocorrer no mar e não haver danos à cidade?
a) 57,4%
b) 12,6%
c) 42%
d) 28%
Resolução
10) Uma empresa seleciona 16 funcionários fumantes e promove um ciclo de palestras com os mesmos para esclarecimentos sobre os efeitos prejudiciais do cigarro à saúde. Após essas palestras, são coletados dados sobre a quantidade de cigarros que cada um desses fumantes está consumindo diariamente. Tais dados são expressos da seguinte maneira:
10, 1, 10, 11, 13, 10, 34, 13, 13, 12, 12, 11, 13, 11, 12, 12
Os dados 1 e 34 são chamados discrepantes, pois são dados muito menores ou muito maiores que a maioria dos dados obtidos. Segundo esta coleta de dados, pode-se afirmar que
a) os cálculos da média, da mediana e da moda não sofrem influência dos dados discrepantes.
b) o cálculo da mediana sofre influência dos dados discrepantes que surgiram.
c) o cálculo da moda sofre influência dos dados discrepantes que surgiram.
d) o cálculo da média sofre influência dos dados discrepantes que surgiram.
Resolução
Comentários
Tags , Lista de Exercícios, lista de questoes, questao de equacao do 2 grau, questao de estatistica, questao de exponencial, questao de geometria analitica, questão de geometria espacial, questão de geometria plana, questao de porcentagem, questão de probabilidade, Questões Resolvidas, questoes resolvidas de matemática
Posted by Orestes Alessandro on domingo, junho 17th, 2012 at 12:18 am in Sem categoria











Fernando
amigo, a questao dois , achei o aumento de 25 %, porem a cada 10% ele aumenta 1 a 1,5. Logo: 1x2,5 e 1,5x2,5 que daria 2,5 e 3,75 nao ?
Fernando
na questao 8, o sen60=CO/H ?????????????
PATRICIA
gostaria de saber qual e a alternativa certa da questão 5
obrigada
@Prof_Orestes
Oi Patricia a alternativa correta é letra D.
Bom estudo!
Lucas
Gostaria da sber a alternativa certa da questao 10 , valeu
@Prof_Orestes
Oi Lucas de acordo com a resolução fica fácil perceber que item correto é o letra D, que afirma que a média sofre alterações com os dados discrepantes.
Bom estudo!
Jorge Torres
Na questão 03 por que a distância entre as duas árvores é de 10 m?
Orestes Alessandro
Oi Jorge, é uma das informações do enunciado.
Bom estudo!
Thalia Lima
Qual é a resposta certa da 3 questão?
Orestes Alessandro
Oi Thalia.
Havia uma desconfiguração nas alternativas, mas você pode conferir a resposta clicando na resolução.
Bom estudo!
Orestes
Guilherme Lopes
Muito boas questões, gostaria de saber onde posso encontrar outras questões similares.
Grato.
Guilherme lopes
Rosane Zanetti
A resposta da número 2 está incorreta.
Brenda
Olá , vocês poderiam esclarecer como acharam as raizes x1=3 e x2=7 no exercicio 5?? ajudaria muito ..obrigado!
Orestes Alessandro
Oi Brenda as raízes foram determinadas por soma e produto, mas você também poderia usar Baskara, o resultado será o mesmo.
Bom estudo!
Andreia
Não entendi o m=-1/2 da rua B na questão 7
Orestes Alessandro
Oi Andreia.
No caso observe que a rua B é perpendicular a rua A, consequentemente, tem seu coeficiente angular igual ao inverso oposto do coeficiente angular da rua A.
Com base no acima exposto podemos dizer que o coeficiente angular da rua B é -1/2.
Bom estudo!
Vou te recomendar meu novo canal o http://www.youtube.com/PenseMatematica em breve você vai encontrar a aulas sobre equações de reta lá, acesse e confira.