Resolução da prova de Matemática UDESC 2012-2

Veja a seguir a resolução da prova de matemática da Udesc 2012-2, a prova foi exigente e extensa.
Para baixar a prova clique aqui.
Clique nas imagens para ampliar.
Questão 1 - questão básica de geometria plana envolvendo semelhança de triângulos.

Questão 2 - questão de geometria espacial sobre esfera.

Questão 3 - questão envolvendo PA e PG

Questão 4 - geometria plana e equação do 2˚grau

Questão 5 - questão envolvendo PA/conjuntos, e que exige que o aluno perceba que o número de dias entre 15 de dezembro de 2011 e 15 de março de 2012 é 92 dias. Exagero!

Questão 6 - questão básica sobre geometria plana usando a superfície de um tronco de pirâmide.

Questão 7 - questão elementar sobre conjuntos

Questão 8 - questão bastante extensa envolvendo equação trigonométrica.

Questão 9 - questão extensa sobre determinantes.

Questão 10 - outra questão extensa envolvendo igualdade de matrizes.

Questão 11 - questão de análise combinatória (combinação)

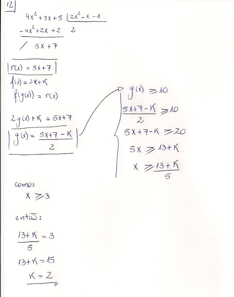
Questão 12 - questão que envolve divisão de polinômios e inequação

Questão 13 - mais uma questão extensa sobre logaritmos

Questão 14 - para variar questão extensa sobre domínios.

Questão 15 - questão envolvendo leis dos cossenos.

Comentários
comentários
renato
Por que na questao 11 fica 7p.1p.C6,1??
@Prof_Orestes
Oi Renato.
O "p" quer dizer possibilidades, estamos imaginando que há 7 possibilidades de fruta e que a 2ª fruta é 1 possibilidade para indicar que é a mesma da 1ª. O que sobra são 6 frutas para combinar uma a uma.
Bom estudo!
renato
Ahh sim sim, entendi. Obrigado. Parabéns pelo site.
@Prof_Orestes
Obrigado meu caro!
Renata
Olá professor!
Não entendi o desenho da questão numero 15, poderias me explicar?
Obrigadaooo